On June 5, the government announced Penjana, its short-term economic recovery plan aimed at introducing a host of stimulus measures to propel businesses and aid the economy following the Covid-19 outbreak.
Included in the plan is assistance for the automotive sector in the form of sales tax relief. As outlined during the announcement, the incentive will see a 100% sales tax (SST) exemption on locally-assembled (CKD) vehicles and 50% sales tax reduction on fully-imported (CBU) models, effective June 15 until December 31, 2020.
Here then is a gist of all the price reductions that have been announced by car companies as well as the savings customers can look forward to in vehicle purchases until the end of the year. Not every carmaker has submitted their price list, so the story will continue to be updated as it goes along.
Audi
All Audi vehicle prices have been reduced as a result of the SST exemption. Savings start from RM7,678 (-3.49%) for the Q2 sport and RM8,390 (-3.49%) for the A3 Sedan, all the way up to RM26,201 (-3.6%) for the Q8 3.0 TFSI quattro and RM31,066 (-3.53%) for the A8L Sedan. The Q7 is missing from the list, but the facelift is set to replace it.
BMW
Price cuts across the board, and these range from RM7,005 off for the entry-level G20 320i Sport right up to RM31,388 for the G16 840i Gran Coupe M Sport. Of the entire model range, the car with the biggest price difference in percentage terms is the G12 740Le xDrive LCI, at -4.97%. There is however no mention of any G30 5 Series variants in the SST exempt price list.
Citroen / DS Automobiles
Prices for the two Citroen models available here have been reduced. The Grand C4 SpaceTourer‘s RM149,888 OTR price has dropped to RM144,980, a RM4,908 (or 3.27%) reduction. The C3 Aircross gets a RM5,747 price reduction, which adjusts the RM115,888 selling price to RM110,141. Elsewhere, the DS 7 Crossback will now go for RM249,572, a drop of RM10,315 (or 3.97%) from the RM259,888 price that was announced in April.
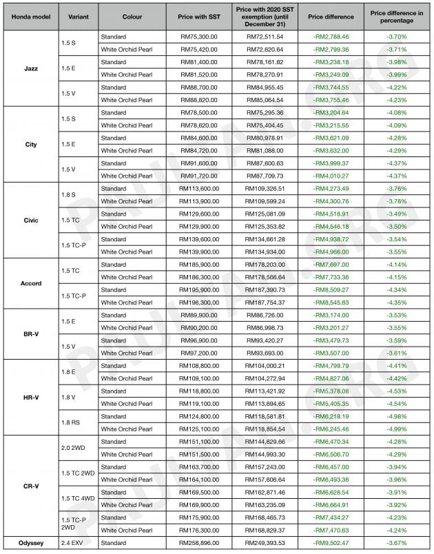
Honda
Honda Malaysia’s line-up sees a price cut for every model, with popular options such as the Jazz and City being up to RM4,100.27 cheaper thanks to the drop in sales tax. Larger models like the CR-V and Civic are also cheaper too, with price reductions as much as RM4,966 (or 3.55%) for the C-segment sedan and up to RM6,245.46 (or 4.99%) in the case of the compact crossover. One thing to note is the lack of hybrid versions of the Jazz, City and Hybrid.
Hyundai
Hyundai-Sime Darby Motors’ revised price list for the sales tax exemption excludes the Hyundai Elantra, Ioniq hybrid and Tucson SUV, which is why you see no difference in the table. This is because the stock in hand for these three models are from 2019, and only 2020 manufactured cars will get the sales tax exemption. Also unchanged is the price of the Hyundai Grand Starex MPV, which has a commercial vehicle status.
The CKD Santa Fe SUV is now going from RM166,974 for the 2.4 Executive to RM207,638 for the range-topping 2.2 Premium. That’s savings of between RM4,913 to RM6,249, or 2.86% to 2.92%. The i30 N hot hatch, which is CBU imported from Europe, gets a price reduction of RM5,090, or 1.7%.
Kia
The pricing update for the Kia model line-up in Malaysia has seen price reductions starting from 2.42% or RM3,860.48 for the Kia Grand Carnival 2.2D KX, and up to 6.70% or RM9,370.19 for the Optima EX. The largest reduction in terms of ringgit value comes courtesy of the 3.3 litre Stinger GT with a drop of RM14,767.30, or 3.85%.
Lexus
Prices have dropped for the entire line-up, starting from RM8,416 for the UX 200 Urban, the cheapest model in the local product range. The discounts brought about by SST exemption continues to increase, culminating in savings in the RM40k plus zone for a couple of million-ringgit models, namely the LS 500 Executive and the recently-introduced 2020 LC 500. Interestingly, Lexus Malaysia says that its revised pricing structure will remain valid until January 31, 2021.
Mazda
Bermaz Motor’s line-up of Mazda vehicles includes a mix of CKD and CBU cars, with all seeing a price reduction by up to RM8,090 or 3.91%. The CX-5, which is a popular model among Mazda buyers, sees savings of as high as RM6,808.30 or 3.75% for the range-topping 2.5T AWD High variant, while the Mazda 3 is now priced less by up to RM5,380 or 3.36% depending on which of the five variants you spring for.
Mercedes-Benz
Mercedes-Benz Malaysia’s massive line-up of both CKD and CBU models see price reductions ranging between RM7,734 to RM49,775, or from 1.86% to as much as 7.11% in terms of percentage. Everything from mainstream models to high end AMG models see an average drop of around 3% to 4%, including the latest pair of compact AMG models – the A45S Edition 1 and CLA45S. The biggest surprise is the headlining RM50k/7.11% drop for the S450 AMG Line flagship limo.
MINI
Like BMW, all MINI models enjoy a price reduction until December, with savings as a result of SST exemption starting from RM8,146 for the Countryman Pure right up to RM13,997 for the Countryman John Cooper Works. On the whole, discounts for the MINI line-up range from 3.52% to 3.86%.
Mitsubishi
Only two models in Mitsubishi Motors Malaysia’s line-up are affected by the drop in sales tax, namely the ASX and Outlander. The former sees a price reduction of RM7,238 for the 2.0L 2WD variant, while the 2.0L 4WD is cheaper by RM8,154. Similarly, the base 2.0L 4WD variant of the Outlander is cheaper by RM4,397 and RM5,126 for the top 2.4L 4WD option. As pick-up trucks are classified as commercial vehicles, the Triton sees no changes to its pricing.
Nissan
Nissan announced its price adjustments on June 15 itself, with savings ranging from 1.46% for the X-Trail 2.0L Hybrid, up to 5.99% for the Almera 1.5L E automatic. The Leaf EV offers the largest drop in terms of ringgit value at RM7,625, though this represents a 4.04% reduction. Pick-up trucks are classified as commercial vehicles, and therefore Navara pricing is unchanged by the SST exemption.
Perodua
The second national carmaker was the first company to reveal its SST exempt prices, and the revision sees prices being reduced from 3% to 6%. Savings begin from RM723 for an Axia 1.0 E manual all the way up to RM4,674 for the Aruz 1.5 Advance. Both the Bezza and Myvi range benefit from a 3.25% and 3.5% reduction respectively in on-the-road prices.
Peugeot
Nasim’s updated price list sees the 3008 Plus become cheaper, with the base 1.6 THP Active now going for RM145,573.52, making it RM5,314.48 less, while the range-topping 1.6 THP Allure is now priced at RM158,236.66, a decrease of RM5,651.34. The larger 5008 also comes in two variants, with the 1.6 THP Active Plus now retailing at RM160,808.60, representing a drop of RM6,079.40, and the 1.6 THP Allure version is now priced at RM172,931.90, or RM6,956.10 less.
Porsche
The entire Porsche line-up sold in Malaysia sees a price reduction thanks to the 50% sales tax reduction on CBU cars. The 911 range sees the most savings, with a price drop of up to RM47,609 (or 3.9%), while the popular Macan is now cheaper by up to RM22,271 (or 3.56%). Meanwhile, the entry-level Porsche sports car, the 718 Boxster, now starts from RM486,727 for the base variant, which is RM13,273 (or 2.65%) less than before.
Proton
Proton revealed its rebates on the 15th itself, and unlike the other companies on this list, the national carmaker added discounts on top of the elimination of the sales tax, so it’s not quite so straightforward. The savings range from RM400 for the Saga 1.3 Standard manual (a reduction of 1.22%) to a whole RM7,000 for the X70 1.8 TGDI Premium X 2WD (down 5.7%). The rebates for the X70 are particularly significant and means that the SUV now starts from under RM90,000, topping out well below the RM120,000 mark.
Renault
Renault distributor TC Euro Cars only has a solitary locally-assembled Renault eligible for the 100% CKD exemption, and that’s the Captur, with all models receiving the same RM2,691 rebate. Savings are also to be had for the rest of the range, with the Megane RS 280 Cup EDC enjoying the largest price reduction of the lot, at RM11,670.
Toyota
Savings from the SST exemption are to be found across the company’s entire passenger car range, save the Innova taxi-spec variant and the entire range of Hilux pick-ups (see the reason as to why, at the end of the story). Despite only receiving a 50% SST exemption, the price adjustment is substantial for the imported Vellfire and Alphard, but that’s to be expected as they are the priciest vehicles in the line up.
Volkswagen
With the sales tax exemption, Volkswagen buyers can expect savings ranging from RM930 for a locally-assembled Polo 1.6 MPI Comfortline right up to RM9,484 for a fully-imported Golf R Mk7.5. The two Tiguan variants are cheaper by RM3,882, while the Passat gets RM6,134 lopped off its on-the-road price until December 31. The Beetle Sport is the only vehicle with its price unchanged.
Volvo
The Volvo line-up in Malaysia consists entirely of locally-assembled models, thus all benefit from the 100% SST exemption announced for CKD vehicles. Savings start from RM13,348 for an S60 T8 R-Design all the way up to RM23,078 for a XC90 T5 Momentum, with its price revision from RM373,888 to RM350,810 representing a 6.17% reduction.
No change in all pick-up truck prices
According to the Malaysian Automotive Association (MAA), pick-up trucks will not enjoy any sales tax exemption because they are classified as commercial vehicles. The incentive is only for passenger vehicles, which includes SUVs and MPVs in the make-up, so the entire Ford Ranger, Isuzu D-Max, Mitsubishi Triton, Nissan Navara and Toyota Hilux product ranges will continue to be priced as they are currently, with SST in place.
Looking to sell your car? Sell it with Carro.























AI-generated Summary ✨
The comments primarily focus on the impact of the 2020 SST exemption on car prices, with some questioning whether they qualify based on booking or registration dates. Many express skepticism about the actual discounts, suggesting car prices were inflated prior to the exemption and that reductions are minimal or artificial. Proton's absence in the price list releases is noted, with concerns about their sales and financial stability. Perodua continues to be favored as Malaysia's top carmaker due to perceived reliability and high resale value, overshadowing Proton. Discussions also touch on import car discounts, with some comparing local and imported cars, and a few off-topic comments about car safety, brands, and general market observations. Overall, there's a mix of frustration, skepticism, and support for Perodua.